Fra januar 2020 udfases den følgende midlertidige profil, og anvedere skal derfor i stedet anvende dokumenter i den officielle profil PDC-DK V.2.0 defineret af MedCom. Den følgende dokumentation af formatet gælder således udelukkende den midlertidige profil. |
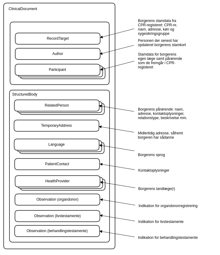
Et stamkort repræsenteres som et "ClinicalDocument", som er grundpillen i CDA. Ifm. FSK er der lavet en extension til CDA, som gør det muligt at repræsentere pårørende, midlertidige adresse, sprog samt indikation for livstestamente, behandlingstestamente og organdonorregistrering som entry-typer i dokumentets "structuredBody". Nedenfor ses ClinicalDocument-strukturen som det benyttes i FSK:
![]()
Selve dokumentets "header" indeholder (udover personen der senest har opdateret stamkortet) data fra CPR-registeret. De øvrige stamkort-data ligger under "StructuredBody", som indeholder en liste af "entry"-sektioner. Disse kan i FSK-sammenhæng have indhold af typen relatedPerson, temporaryAddress, language, healthProvider og observation. Ifm. HL7 CDA er der defineret en række "OIDer", som hver især definerer et udfaldsrum for forskellige id/kode-typer. Meningen er, at der til et id (på fx en person, altså CPR-nummer) defineres et OID, som kan betragtes som en type-erklæring. For FSK er følgende OID'er aktuelle:
| Type | OID | Beskrivelse | Eksempel |
|---|---|---|---|
| Patientkontakt | 1.3.6.1.4.1.19376.1.5.3.1.2.4 | Template-id på participant (se evt. https://wiki.ihe.net/index.php/1.3.6.1.4.1.19376.1.5.3.1.2.4) | <ns2:participant typeCode="IND"> <ns2:templateId root="1.3.6.1.4.1.19376.1.5.3.1.2.4"/> |
| SOR | 1.2.208.176.1.1 | Type af organisations-ID baseret på SOR. | <id extension="368061000016003" root="1.2.208.176.1.1" assigningAuthorityName="SOR"/> |
| SKS | 2.16.840.1.113883.3.4208.100.5 | Type af organisations-ID baseret på SKS. | <id extension="368061000016003" root="2.16.840.1.113883.3.4208.100.5" assigningAuthorityName="SKS"/> |
| CVR-P | 1.2.208.184.15.9* | Type af organisations-ID baseret på CVR-P. | <id extension="368061000016003" root="1.2.208.184.15.9" assigningAuthorityName="CVR-P"/> |
| CVR | 1.2.208.184.15.10* | Type af organisations-ID baseret på CVR. | <id extension="368061000016003" root="1.2.208.184.15.10" assigningAuthorityName="CVR"/> |
| Ydernummer | 1.2.208.184.15.8* | Type af organisations-ID baseret på Ydernummer. | <id extension="368061000016003" root="1.2.208.184.15.8" assigningAuthorityName="Yder"/> |
| Kommunekode | 1.2.208.184.15.11* | Type af organisations-ID baseret på Kommunekode. | <id extension="3680610000" root="1.2.208.184.15.11" assigningAuthorityName="Kommunekode"/> |
| CPR | 1.2.208.176.1.2 | CPR-nummer | <id extension="2512489996" root="1.2.208.176.1.2" assigningAuthorityName="CPR"/> |
| DK MedCom (member body) | 1.2.208.184 | Id på ClinicalDocument. Ikke aktual ifm. FSK (extension=NA) | <ns2:id assigningAuthorityName="MedCom" extension="NA" root="1.2.208.184"/> |
| Fortrolighed | 2.16.840.1.113883.5.25 | Altid N=Normal ifm. FSK | <ns2:confidentialityCode code="N" codeSystem="2.16.840.1.113883.5.25"/> |
| ISO-angivelse af sprog | 1.0.639.1 | ISO-639-1 formatteret sprog | <ns4:languageCode codeSystem="1.0.639.1">de</ns4:languageCode> |
| ISO-angivelse af køn | 2.16.840.1.113883.5.1 | En borgers køn (M/F) | <ns2:administrativeGenderCode code="F" codeSystem="2.16.840.1.113883.5.1"/> |
| Dokument type-id | 2.16.840.1.113883.1.3 | HL7-registreret RMIM (HL7 internal) | <ns2:typeId extension="POCD_HD000040" root="2.16.840.1.113883.1.3"/> |
| Stamkode code system | 1.2.208.184.15.1* | Kodesystem, ikke aktuel ifm. FSK (code=NA) | <ns2:code code="NA" codeSystem="1.2.208.184.15.1" displayName="Stamkort"/> |
| Midlertidig adresse | 1.2.208.184.15.2* | IDer (UUID) på midlertidige adresse | <ns4:temporaryAddress> |
| Pårørende | 1.2.208.184.15.3* | IDer (UUID) på pårørende | <ns4:relatedPerson> |
| Pårørende type | 1.2.208.184.15.4* | Følger MedCom-definerede typer for pårørende: uspec_paaroerende, barn, aegtefaelle, forældre, barnebarn, svigerbarn, ingen_relationer, nabo, samboende, registreret_partner, søskende, øvrig_familie | <ns2:code code="uspec_paaroerende" codeSystem="1.2.208.184.15.4"/> |
| Uddannelseskode | 1.2.208.184.15.5* | IDer (UUID) på uddannelseskoder | <ns2:id assigningAuthorityName="UDDANNELSESKODE" extension="7170" root="1.2.208.184.15.5"/> |
| Autorisationsid | 1.2.208.184.15.6* | IDer (UUID) på autorisationskoder | <ns2:id assigningAuthorityName="AUTORISATION" extension="09YM8" root="1.2.208.184.15.6"/> |
| Livstestamente code system | 1.2.208.184.15.1* | Kodesystem | <ns2:code code="LivingWill" displayName="Livstestamente" codeSystem="1.2.208.184.15.1"/> |
| Behandlingstestamente code system | 1.2.208.184.15.1* | Kodesystem | <ns2:code code="TreatmentWill" displayName="Behandlingstestamente" codeSystem="1.2.208.184.15.1"/> |
| Organdonor code system | 1.2.208.184.15.1* | Kodesystem | <ns2:code code="OrganDonor" displayName="OrganDonorRegistration" codeSystem="1.2.208.184.15.1"/> |
* id defineres endeligt af MedCom.
På oidref.com kan man i øvrigt se betydningen af enkeltcifre i de fleste OIDer, fx http://oidref.com/2.16.840.1.113883.1.3
Nedenfor beskrives formatet af "on demand"-dokumentet, som returneres fra FSK. For hard-kodede værdier angives ikke en type.
Et eksempel ses her: FSK15_ClinicalDocument_Example.xml
| Element | Beskrivelse | Type | Optionel | |
|---|---|---|---|---|
| realmCode | Krævet pr. standard, fast værdi | - | - | |
| typeId | Krævet pr. standard, fast værdi | - | - | |
| templateId | Krævet pr. standard, fast værdi | - | - | |
| id | Krævet pr. standard, fast værdi | - | - | |
| code | Krævet pr. standard, fast værdi | - | - | |
| title | Krævet pr. standard, fast værdi | - | - | |
| effectiveTime | Tidspunkt for generering af svar | - | - | |
| confidentialityCode | Krævet pr. standard, fast værdi | - | - | |
| languageCode | Krævet pr. standard, fast værdi | - | - | |
| versionNumber | Stamkortets versionsnummer | int(11) | Nej | |
| recordTarget.patientRole.typeId | Borgerens sygesikringsgruppe (i attributten extension). Følgende værdisæt er muligt: 1: Gruppe 1 dækning | - | Ja | |
| recordTarget.patientRole.id | Borgerens CPR-nr i "extension"-attribut | int(10) | Nej | |
| recordTarget.patientRole.addr | Borgerens adresse. Se tabel længere nede (delt struktur Addr)
| - | Nej | |
| recordTarget.patientRole.patient.name.given | Borgers fornavn | varchar(50) | Nej | |
| recordTarget.patientRole.patient.name.family | Borgers mellem- og efternavn | varchar(81) | Nej | |
| author.time | Dato/tid. Format: yyyyMMddHHmmssZ, fx. 20171024143445+0200 | varchar(19) | Nej | |
| author.assignedAuthor.assignedPerson.name.given | Seneste stamkort-modifikator, fornavn | varchar(80) | Ja | |
| author.assignedAuthor.assignedPerson.name.family | Seneste stamkort-modifikator, efternavn | varchar(80) | Ja | |
| custodian.assignedCustodian.representedCustodianOrganization.id | Krævet pr. standard, fast værdi | - | - | |
| participant.templateId | Krævet pr. standard, fast værdi | - | - | |
| participant.associatedEntity.id | Pårørendes CPR (angives i extension-attribut) | varchar(10) | Nej | |
| participant.associatedEntity.classCode | Angiver den associeredes rolle. PRS = pårørende, CAREGIVER = egen læge | - | Nej | |
| participant.associatedEntity.code | Den pårørendes type (i code-attribut). Pt. enten YDERNUMMER (hvis egen læge, hvor codeSystem så er '1.2.208.184.15.8') eller "uspec_paaroerende", men kan i princippet også være en vilkårlig af følgende MedCom-typer: barn, aegtefaelle, forældre, barnebarn, svigerbarn, ingen_relationer, nabo, samboende, registreret_partner, søskende, øvrig_familie | varchar(20) | Ja | |
| participant.associatedEntity.addr | Se tabel længere nede (delt struktur Addr) | - | Ja | |
| participant.associatedEntity.telecom | 0-3 forekomster med attribut use=H/MP/WP (H=home, MP=mobile phone, WP=work place). Telefonnummer angives i attributten "value" med præfix "tel:", fx value="tel:01123622" | varchar(45) | Ja | |
| participant.associatedEntity.associatedPerson.name.given | Pårørendes fornavn | varchar(50) | Ja | |
| participant.associatedEntity.associatedPerson.name.family | Pårørendes mellem- og efternavn | varchar(81) | Ja | |
| participant.associatedEntity.scopingOrganization | Udfyldes kun ifm. egen læge. Indeholder i så fald lægens adresse/kontaktoplysninger. Se tabel længere nede (delt struktur Organization) | - | Ja | |
| Nedenstående elementer hører alle under component.structuredBody.component.section.entry.relatedPerson: | ||||
| id | Pårørendes id (UUID) | varchar(36) | Nej | |
| associatedEntity.addr | Se tabel længere nede (delt struktur Addr) | - | Ja | |
| associatedEntity.telecom | 0-3 forekomster med attribut use=H/MP/WP (H=home, MP=mobile phone, WP=work place). Telefonnummer angives i attributten "value" med præfix "tel:", fx value="tel:01123622" | varchar(45) | Nej | |
| associatedEntity.associatedPerson.name.given | Pårørendes for- og mellemnavn | varchar(80) | Nej | |
| associatedEntity.associatedPerson.name.family | Pårørendes efternavn | varchar(80) | Ja | |
| relationshipType | Pårørendes type (en af følgende MedCom-typer: uspec_paaroerende, barn, aegtefaelle, forældre, barnebarn, svigerbarn, ingen_relationer, nabo, samboende, registreret_partner, søskende, øvrig_familie) | varchar(20) | Ja | |
| note | Fritekstbeskrivelse af den pårørendes rolle i forhold til borgeren, hvilke opgaver personen kan være behjælpelig med osv. | varchar(1000) | Ja | |
| dataEnterer | Se tabel længere nede (delt struktur DataEnterer) | - | Nej | |
| Nedenstående elementer hører alle under component.structuredBody.component.section.entry.temporaryAddress: | ||||
| id | Midlertidig adresses id (UUID) | varchar(36) | Nej | |
| addr | Se tabel længere nede (delt struktur Addr) | - | Nej | |
| dataEnterer | Se tabel længere nede (delt struktur DataEnterer) | - | Nej | |
| Nedenstående elementer hører alle under component.structuredBody.component.section.entry.patientContact: | ||||
| telecom | 0-3 forekomster med attribut use=H/MP/WP (H=home, MP=mobile phone, WP=work place). Telefonnummer angives i attributten "value" med præfix "tel:", fx value="tel:01123622" | varchar(45) | Ja | |
| dataEnterer | Se tabel længere nede (delt struktur DataEnterer) | n | Nej | |
| Nedenstående elementer hører alle under component.structuredBody.component.section.entry.language: | ||||
| id | Sprog id (UUID) | varchar(36) | Nej | |
| languageCode | Sprogkode (kan være tom for fx spædbørn, borgere uden taleevne mm). Format: ISO-639-1 | char(2) | Ja | |
| dataEnterer | Se tabel længere nede (delt struktur DataEnterer) | - | Nej | |
| Nedenstående elementer hører alle under component.structuredBody.component.section.entry.healthProvider: | ||||
| id | Tandlæges id (UUID) | varchar(36) | Nej | |
| providerType | Indeholder sundhedspersonens type. Pt. altid code/displayName=tandlæge. | - | Nej | |
| organization | Se tabel længere nede (delt struktur Organization) | - | Ja | |
| dataEnterer | Se tabel længere nede (delt struktur DataEnterer) | - | Nej | |
| Nedenstående elementer hører alle under component.structuredBody.component.section.entry.observation: | ||||
| code | Typen af indikation. Kan antage værdierne LivingWill, TreatmentWill, OrganDonor | - | Nej | |
| value | Indholdet af attributten "value" indeholder true/false hvis der hhv. findes eller ikke findes en registrering af typen angivet under code. Fx således hvis der ikke findes en organdorregistrering: <observation moodCode="EVN" classCode="OBS"> | Boolean, true/false | Nej | |
Bemærk at der på en "addr"-struktur anvendes attribut isNotOrdered="false", da funktionalitet afhænger af en bestemt rækkefølge af streetAddressLine.
| Element | Beskrivelse | Type | Optionel |
|---|---|---|---|
| streetAddressLine | Adresselinje, 0-4 forekomster | varchar(80) | Ja |
| postalCode | Postnummer | varchar(10) | Ja |
| city | By | varchar(80) | Ja |
| country | Land | varchar(80) | Ja |
| useablePeriod | 1 eller 2 forekomster. 1 til at indikere en periode gældende fra et givet tidpunkt og fremad, eller 2 til at angive et datointerval, f.eks. således (værdien operator="I" betyder "intersection"): <cda:useablePeriod value="20140106" operator="I"/> Format for value-attributten er yyyyMMdd | varchar(8) for value-attribut | Ja |
| Element | Beskrivelse | Type | Optionel |
|---|---|---|---|
| id | Indeholder pt. pågældendes ydernummer i extension-attributten | varchar(6) | Ja |
| name | Sundhedspersonens praksisbetegnelse | varchar(50) | Ja |
| telecom | 0-2 forekomster med attribut use=WP (work place). Telefonnummer angives i attributten "value" med præfix "tel:", fx value="tel:01123622", og email med præfix "mailto:", fx value="mailto:test@testyder.dk" | varchar(57) | Ja |
| addr | Se tabel ovenfor (delt struktur) | - | Ja |
Den generelle dataEnterer-struktur der anvendes på diverse request, samt på relatedPerson, temporaryAddress og language, ser ud som følger (organisationsoplysninger skal angives hvis der er tale om en sundhedsperson):
| Element | Beskrivelse | Type | Optionel |
|---|---|---|---|
| time | Tidspunkt for opdatering. Format: yyyyMMddHHmmssZ, fx. 20171024143445+0200 | varchar(19) | Nej |
| assignedAuthor.id | En eller flere forekomster med værdi i attribut "extension" og type (fx CPR/AUTORISATION/UDDANNELSESKODE) i attribut "assigningAuthorityName" | extension varchar(10), assigningAuthorityName varchar(30) | Nej |
| assignedAuthor.assigningPerson.name.given | For- og mellemnavn på person bag opdatering | varchar(80) | Nej |
| assignedAuthor.assigningPerson.name.family | Efternavn på person bag opdatering | varchar(80) | Nej |
| assignedAuthor.representedOrganization.id | Organisations id, såfremt der er tale om en sundhedsperson. Værdi findes i attribut "extension", type i attribut "assigningAuthorityName" | extension varchar(80), assigningAuthorityName varchar(30) | Ja |
| assignedAuthor.representedOrganization.name | Organisations navn | varchar(30) | Ja |